THE HUMAN PROTEIN ATLAS BLOG

Proteomic profiling of sarcoidosis patients

2016-06-14
Antibody Suspension Bead Array Sandwich immunoassays


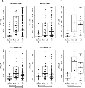
Levels of FN1 and CCL2 in BAL fluid.

In a very recent study, published in Respiratory Research, researchers from the Human Protein Atlas and Karolinska Institutet performed protein profiling of broncho-alveolar lavage (BAL)-fluid and serum using an antibody suspension bead array technology with the aim to find proteins associated to sarcoidosis.

Sarcoidosis is a granulomatous systemic inflammatory disease in which more than 90 % of all patients develop pulmonary manifestations. Several gene associations have previously been described, but established and clinically useful biomarkers are still absent.

In the present study proteins previously linked to inflammation and disease pathogenesis were selected and profiled using an antibody suspension bead array technology. The antibodies used for the screening were obtained through the Human Protein Atlas and 96 antibodies towards 94 unique proteins were used for the initial discovery phase.

Several proteins were identified with higher abundance in BAL fluid of sarcoidosis patients, including cadherin 5 (CDH5), transferrin (TF), C-C motif chemokine 24 (CCL24), interleukin 15 (IL15) apolipoprotein A (LPA) and mito-chondrial superoxide dismutase (SOD2).

Based on the results, three proteins were further analyzed through additional antibodies and two of these, CCL2 and FN1, were also evaluated using sandwich immunoassays. The flexibility of the assay and the resources of the Human Protein Atlas provide an exceptional opportunity to perform targeted screening of hundreds of selected protein targets in hundreds of biological fluid samples (BAL, serum, plasma, etc.). This is very important as investigating many variables in a limited set of samples pose statistical challenges in the data analysis. The ability to simultaneously screen a wide range of samples, preferably from multiple cohorts and diseases, increases the probability of identifying proteins of relevance for further investigations of potential utility in clinical practice.

Read the whole story in Respiratory Research.

Explore the proteins FN1 and CCL2 in the Human Protein Atlas


Frida Henningson Johnson



Blog archive

2025
2024
2023
2022
2021
2020
2019
2018
2017 (57)
2016 (76)
2015 (13)